ЖКХ УК МКД Сайт дома №1 по ул. Взлётная в г. Омске

ЖКХ УК МКД

Запрос информации и показаний ОДПУ за 3 года


Кликните чтобы раскрыть

Запрос начальнику ГЖИ от 16.03.2026 г.
Комментарии к документу

Запрос в Госжилинспекцию Омской области с просьбой разъяснить основания её позиции по отказу в проверке

Дата и автор: 16.03.2026, собственники МКД № 1 по ул. Взлётная

Суть запроса: После получения ответа ГЖИ от 04.03.2026, в котором инспекция фактически отказалась проверять полноту и достоверность информации, предоставленной ООО «УК «Сибирь», сославшись на соблюдение сроков, собственники направили новый запрос — требование разъяснить правовую позицию надзорного органа.

В запросе поставлены прямые вопросы:

  • означает ли позиция ГЖИ, что её компетенция ограничена контролем сроков, а не содержания информации;
  • почему при толковании п. 34 Правил № 416 инспекция принимает во внимание только один абзац, игнорируя другие, прямо обязывающие УК предоставлять более широкий перечень сведений;
  • означает ли отсутствие обязанности размещать документы в ГИС ЖКХ, что УК не обязана предоставлять их по прямому запросу собственника;
  • как проверить правильность перерасчёта ОДН без доступа к актам сверки и первичным показаниям ОДПУ;
  • входит ли в компетенцию ГЖИ контроль за правильностью перерасчёта;
  • является ли отказ в предоставлении информации нарушением лицензионных требований;
  • является ли право собственников на обращение в суд, в прокуратуру, на смену ООО «УК «Сибирь» заменой обязанности ГЖИ осуществлять надзор за выполнением жилищного законодательства.

Почему это важно: Это обращение к самому надзорному органу с просьбой обосновать свою позицию.

Вопросы построены так, что ГЖИ либо подтвердит свою трактовку полномочий, либо признает, что предыдущий ответ был неполным. Скорее всего, «отписаться» общими фразами, не ссылаясь на конкретные нормы, будет сложно. Если ГЖИ попытается — это станет очевидным и послужит основанием для обращения в прокуратуру.

Что дальше: В зависимости от ответа ГЖИ возможны следующие шаги:

  • если ответ будет содержательным и признает часть требований — будем добиваться перерасчёта и штрафа;
  • если последует очередная отписка — обратимся в прокуратуру на бездействие ГЖИ с просьбой дать оценку законности её позиции.

По мнению собственников, вполне логично, когда надзорный орган не только считает дни, но и следит за тем, что именно написано в ответах УК. Иначе право на информацию превращается в фикцию.

Запрос начальнику ГЖИ

Кликните на изображение чтобы увеличить его

Запрос начальнику ГЖИ по ОДПУ от 16.03.2026 г. Стр. 1. Запрос начальнику ГЖИ по ОДПУ от 16.03.2026 г. Стр. 2. Запрос начальнику ГЖИ по ОДПУ от 16.03.2026 г. Стр. 3.
Запрос в РСО от 10.03.2026 г.
Комментарии к документу

Запрос в ресурсоснабжающую организацию о предоставлении первичных данных для проверки правильности начислений

Дата и автор: 10.03.2026, собственники МКД № 1 по ул. Взлётная

Суть обращения: В связи с неудовлетворительными ответами ООО «УК «Сибирь» по вопросам начисления платы за коммунальные услуги (в первую очередь — за отопление), а также с переадресацией запроса от УК в ресурсоснабжающую организацию, собственники направили обращение в ООО «Омская энергосбытовая компания» (ООО «ОЭК») как платёжному агенту, осуществляющему расчёты по услугам АО «Омск РТС» (отопление и ГВС).

В обращении запрошены:

  • первичные (ежедневные или помесячные «сырые») показания ОДПУ по отоплению, ГВС и электроэнергии за период с 01.01.2023 по 31.12.2025;
  • акты сверки между ООО «УК «Сибирь» и ресурсоснабжающими организациями (АО «Омск РТС», ООО «ОЭК») за тот же период;
  • расшифровка начислений по дому с указанием объёмов Vi, ∑Vi, Vд и площадей, использованных в расчётах;
  • сведения о среднемесячном объёме потребления тепловой энергии за период 2023–2025 годов, использованном для расчёта платы по формулам 3 и 3(6) Правил № 354.

Почему это важно: Управляющая компания ООО «УК «Сибирь» в ответах на запросы:

  • предоставила только сводные таблицы, но не первичные данные, без которых невозможно проверить правильность начислений;
  • в письме от 04.02.2026 № 85 прямо заявила, что «не является исполнителем коммунальных услуг», и переадресовала запрос в РСО;
  • отказала в предоставлении актов сверки с ресурсоснабжающими организациями, сославшись на отсутствие обязанности их размещать.

Таким образом, единственный способ получить достоверные данные — обратиться напрямую к источнику: в ресурсоснабжающую организацию. Без этих документов невозможно:

  • проверить правильность применённых в расчётах объёмов;
  • выявить расхождения между данными УК и РСО;
  • понять, насколько обоснованно произведён перерасчёт (корректировка) платы за отопление.

Что дальше: В зависимости от ответов ООО «ОЭК» и АО «Омск РТС» возможны следующие шаги:

  • если документы будут предоставлены — проведём независимый анализ и при необходимости направим требования о перерасчёте;
  • если последует отказ или неполный ответ — обратимся в прокуратуру с заявлением о нарушении права на информацию;
  • в случае подтверждения расхождений между данными УК и РСО — подготовим обращение в ГЖИ с требованием провести проверку.

Прозрачность расчётов — основа доверия к коммунальным платежам. Пока ООО «УК «Сибирь» не предоставляет (а, возможно, и скрывает) первичные данные, собственники вынуждены платить вслепую.

Запрос в РСО

Кликните на изображение чтобы увеличить его

Запрос в РСО в в АО «Омск РТС» и ООО «Омская энергосбытовая компания» по ОДПУ от 16.03.2026 г. Стр. 1. Запрос в РСО в в АО «Омск РТС» и ООО «Омская энергосбытовая компания» по ОДПУ от 16.03.2026 г. Стр. 2.
Ответ ГЖИ от 04.03.2026 г.

Кликните чтобы раскрыть

Комментарии к документу

Ответ ГЖИ на обращение о непредоставлении УК документов по ОДПУ (март 2026)

Дата и автор: 04.03.2026, заместитель начальника Госжилинспекции Омской области О.В. Щербакова

Суть ответа: ГЖИ сообщает, что ООО «УК «Сибирь» предоставила ответы на запросы в установленные сроки (22.01, 29.01, 04.02.2026), поэтому основания для проверки и привлечения к ответственности отсутствуют. Инспекция также разъясняет, что:

  • обязанность УК по предоставлению информации ограничена перечнем в п. 34 Правил № 416 (сведения о показаниях ОДПУ за 3 года);
  • остальная информация (акты сверки, документы на ОДПУ, акты ввода в эксплуатацию) не является обязательной к размещению в ГИС ЖКХ, поэтому требовать её от УК — право, а не обязанность;
  • расчёт ОДН по нормативу с последующим перерасчётом соответствует закону, так как ОСС не приняло иного решения;
  • собственники вправе инициировать собрание и сменить УК.

Анализ: Перед нами — классический пример того, как надзорный орган подменяет понятия и сужает свою компетенцию до формальных сроков, уходя от проверки по существу. Разберём ключевые тезисы ГЖИ.

  1. Сроки ≠ содержание — ГЖИ проверяет только даты ответов и объявляет: «сроки соблюдены, значит, всё хорошо». Но ст. 20 ЖК РФ и Положение о Госжилинспекции Омской области (п. 8, 9) обязывают её контролировать соблюдение всех требований жилищного законодательства, включая полноту и достоверность информации. Если УК ответила формально, не предоставив запрошенные документы, — это нарушение, и ГЖИ обязана это зафиксировать.
  2. ГИС ЖКХ — не единственный источник — ГЖИ многократно ссылается на ФЗ № 209 и Приказ № 79/пр, утверждая, что если информация не обязательна к размещению в системе, то УК не обязана её предоставлять. Это подмена понятий. Обязанность предоставлять информацию по запросу собственника установлена:
    • пп. «р» п. 31 Правил № 354 — исполнитель обязан предоставлять любому потребителю письменную информацию за запрашиваемые периоды о помесячных объёмах по ОДПУ, суммарных объёмах в жилых и нежилых помещениях, объёмах по нормативу и на ОДН;
    • ст. 8 Закона РФ «О защите прав потребителей» — потребитель вправе потребовать предоставления необходимой и достоверной информации об исполнителе и оказываемых услугах;
    • условия договора управления (ст. 162 ЖК РФ) — УК обязана действовать в интересах собственников и предоставлять отчётность.
    То, что документ не обязателен к размещению в ГИС ЖКХ, не отменяет обязанности УК ответить на прямой запрос собственника.
  3. Акты сверки и ввода — не «личное дело» УК — ГЖИ утверждает, что акты сверки с РСО и акты ввода узлов учёта не обязательны к предоставлению. Но без них невозможно проверить правильность начислений. Акты сверки подтверждают, совпадают ли объёмы, предъявленные УК жителям, с объёмами, выставленными РСО. Акты ввода в эксплуатацию подтверждают легальность приборов учёта. Отказ в их предоставлении делает невозможным контроль и нарушает права собственников.
  4. Расчёт по нормативу — да, но с перерасчётом — здесь ГЖИ формально права: при отсутствии решения ОСС расчёт ОДН по нормативу с перерасчётом допустим. Однако вопрос не в способе расчёта, а в том, что УК не даёт возможности проверить правильность самого перерасчёта, скрывая первичные данные (показания ОДПУ, акты сверки).
  5. «Идите и проводите собрание» — финальная мантра ГЖИ. Вместо того чтобы выполнять свои надзорные функции, инспекция перекладывает ответственность на собственников. Это не ответ по существу, а способ закрыть обращение.

Итог: ГЖИ фактически легализовала отказ УК в предоставлении документов, сославшись на то, что они не обязательны к размещению в ГИС ЖКХ. При этом проигнорированы прямые нормы ЖК РФ, Правил № 354 и Закона о защите прав потребителей, которые обязывают УК предоставлять информацию по запросу. Создан опасный прецедент: любая УК может отвечать формальными отписками, а ГЖИ будет проверять только даты, закрывая глаза на отсутствие содержания.

Что делать дальше: Если оставить как есть — это только закрепит практику, при которой ООО «УК «Сибирь» может скрывать документы, а ГЖИ ссылаться на «отсутствие обязанности размещать в ГИС ЖКХ».

Будем делать новые запросы, смещая фокус на нормы, которые ГЖИ проигнорировала:

  • почему ГЖИ принимает во внимание только абз. 4 п. 34 Правил № 416, игнорируя при этом абз. 3 и абз. 8, которые прямо обязывают УК предоставлять информацию по запросу собственника;
  • почему обязанность предоставлять информацию по запросу собственника (пп. «р» п. 31 Правил № 354, ст. 8 Закона о защите прав потребителей) не была принята во внимание;
  • как можно проверить правильность перерасчёта ОДН без актов сверки с РСО и первичных показаний ОДПУ;
  • на каком основании ГЖИ считает, что её полномочия ограничены контролем сроков, если ст. 20 ЖК РФ и Положение о Госжилинспекции говорят о контроле за соблюдением всех обязательных требований.

А пока — действуем по трём направлениям:

  1. Фиксируем каждый ответ. Любой из них может помочь отстоять свою позицию в суде, в прокуратуре области или на приёме у губернатора.
  2. Меняем угол атаки. Выясняем, на каком основании ГЖИ так узко трактует свои полномочия и на какие правовые нормы при этом опирается.
  3. Действуем публично. Соцсети, СМИ, городские паблики — нет проверки, зато есть огласка.

Каждый наш шаг — даже если он не приносит быстрой победы — сужает поле для манёвра тем, кто привык действовать в тени. Рано или поздно то, что мы считаем недобросовестностью ООО «УК «Сибирь», сыграет против неё же.

Ответ ГЖИ

Кликните на изображение чтобы увеличить его

Ответ ГЖИ по ОДПУ от 04.03.2026 г. Стр. 1. Ответ ГЖИ по ОДПУ от 04.03.2026 г. Стр. 2. Ответ ГЖИ по ОДПУ от 04.03.2026 г. Стр. 3. Ответ ГЖИ по ОДПУ от 04.03.2026 г. Стр. 4. Ответ ГЖИ по ОДПУ от 04.03.2026 г. Стр. 5. Ответ ГЖИ по ОДПУ от 04.03.2026 г. Стр. 6. Ответ ГЖИ по ОДПУ от 04.03.2026 г. Стр. 7. Ответ ГЖИ по ОДПУ от 04.03.2026 г. Стр. 8.
Жалоба в ГЖИ от 07.02.2026 г.

Кликните чтобы раскрыть

Комментарии к документу

Анализ жалобы в ГЖИ на систематические нарушения ООО «УК «Сибирь»

Дата и автор: 07.02.2026, Собственник помещений МКД по ул. Взлётная, д.1

Суть: Исчерпав возможности диалога с управляющей организацией, направлена жалоба в Государственную жилищную инспекцию с требованием принять меры по систематическому непредоставлению информации по общедомовым приборам учёта.

Ключевые аспекты жалобы:

  1. Систематический характер нарушений — УК неоднократно отказывалась предоставлять первичные данные ОДПУ, ограничиваясь сводными таблицами, что не позволяет проверить корректность расчётов за коммунальные ресурсы на общедомовые нужды.
  2. Нарушение сроков предоставления информации — УК разделила ответ на две части (22.01 и 29.01), превысив установленные законом 3-дневные сроки, что свидетельствует о формальном подходе к исполнению обязанностей.
  3. Юридически несостоятельные пояснения УК — управляющая организация утверждает, что "не является исполнителем коммунальных услуг", хотя согласно п. 13 ПП №354 и п. 2 ПП №124 именно УК заключает договоры с РСО и обеспечивает предоставление КУ на ОДН.
  4. Предоставление нечитаемых документов — в ответе от 29.01 приложен акт ввода узла учёта тепловой энергии с рукописными записями плохого качества, что фактически является отказом в предоставлении информации.
  5. Исторический контекст — в 2022 году ГЖИ уже выносила предостережение данной УК по аналогичным нарушениям, но предупредительные меры не возымели действия.

Правовая основа обращения в ГЖИ:

  • пп. "е" п. 31 ПП №354 — обязанность хранить показания ОДПУ 3 года.
  • пп. "п" п. 31 ПП №354 — обязанность предоставлять информацию об объёмах КР на ОДН.
  • п. 34 ПП №416 — обязанность предоставлять сведения о показаниях ОДПУ.
  • п. 13 ПП №354 — статус УК как исполнителя КУ на ОДН.
  • ч. 9.2 ст. 156 ЖК РФ — соответствие платы фактическому потреблению.

Текущий статус: Жалоба направлена в ГЖИ Омской области. Следите за обновлениями.

Ожидаемые результаты:

  • Проведение внеплановой проверки деятельности ООО «УК «Сибирь».
  • Предоставление УК обязательного для исполнения предписания.
  • Привлечение УК к административной ответственности.
  • Получение собственниками полного пакета запрошенных документов.

Важно: Данная жалоба представляет собой образец правовой реакции на системные нарушения со стороны УК. Когда диалог на уровне "собственник-УК" невозможен, закон предоставляет право обратиться в надзорный орган, который обязан обеспечить соблюдение жилищного законодательства.

Жалоба в ГЖИ

Кликните на изображение чтобы увеличить его

Жалоба в ГЖИ по ОДПУ от 07.02.2026 г. Стр. 1. Жалоба в ГЖИ по ОДПУ от 07.02.2026 г. Стр. 1. Жалоба в ГЖИ по ОДПУ от 07.02.2026 г. Стр. 1.
Ответ УК "Сибирь" на повторный запрос от 04.02.2026 г.

Кликните чтобы раскрыть

Комментарии к ответу

Анализ очередного отказа ООО «УК «Сибирь» предоставить данные ОДПУ

Дата и автор: 04.02.2026, ООО «УК «Сибирь».

Суть: УК продолжает уклоняться от предоставления первичных данных общедомовых приборов учёта, ссылаясь на п.34 ПП №416. В ответе содержатся юридически несостоятельные утверждения и фактический отказ выполнить законные требования собственника.

Ключевые нарушения в новом ответе:

  1. Некорректное толкование п. 34 ПП №416 — УК утверждает, что предоставляет информацию "в том виде и объёме, в котором осуществляет сбор". Однако п. 34 ПП №416 прямо обязывает УК предоставлять по запросу собственников "сведения о показаниях коллективных (общедомовых) приборов учета за период не более 3 лет", а не самостоятельно определять формат. Данная норма не отменяет требования пп. "е" п. 31 ПП №354 об обеспечении сохранности информации о показаниях ОДПУ в течение 3 лет.
  2. Попытка переложить обязанности на РСО — УК заявляет, что "не является исполнителем КУ" и отправляет в РСО. Это прямое нарушение: п. 13 ПП №354 устанавливает, что предоставление коммунальных услуг обеспечивается УК посредством заключения договоров с РСО. Согласно п. 2 ПП №124 УК является "исполнителем" - юридическим лицом, предоставляющим потребителю коммунальные услуги. Для собственников помещений УК является исполнителем коммунальных услуг на общедомовые нужды, что подтверждается также п.2 и п. 4 ст. 154 ЖК РФ о включении расходов на КР на ОДН в плату за содержание.
  3. Повторный отказ в актах сверки — УК продолжает утверждать, что акты не предусмотрены п. 34 ПП №416. Однако обязанность документировать взаимодействие с РСО вытекает из пп. "д" п. 18 ПП №124, требующего установления в договоре ресурсоснабжения порядка взаимодействия по снятию и передаче показаний ОДПУ. Без документов о согласовании показаний невозможно проверить соответствие платы фактическому потреблению согласно ч. 9.2 ст. 156 ЖК РФ.
  4. Игнорирование требования о первичных данных — УК повторно предоставляет только сводные таблицы. Это нарушает пп. "п" п. 31 ПП №354, обязывающий исполнителя предоставлять потребителю информацию об объемах КР на ОДН, и пп. "г" и "д" п. 31 ПП №354, требующие возможности проверки правильности расчётов.

Текущий статус: УК систематически нарушает сроки ответов и отказывается предоставлять обязательную информацию, нарушая требования жилищного законодательства. Подготовлена жалоба в ГЖИ. Следите за обновлениями.

Дальнейшие действия:

  • Направление жалобы в ГЖИ на систематические нарушения (сроки ответов и отказ в предоставлении информации).
  • Рассмотрение обращения в ФАС по вопросу сокрытия информации, влияющей на расчёты с потребителями.
  • Информирование РСО о неисполнении УК обязанностей по коммерческому учёту в соответствии с договорами ресурсоснабжения.

Важно: УК обязана предоставлять именно те данные, которые использует для расчётов с РСО (на основании пп. "е" п. 31 ПП №354 и п. 34 ПП №416). Утверждение, что "достаточно сводных таблиц" — это попытка ограничить контроль собственников за правильностью начислений за коммунальные ресурсы на общедомовые нужды.

Ответ УК "Сибирь" на повторный запрос

Кликните на изображение чтобы увеличить его

Ответ УК "Сибирь" по ОДПУ №85 от 04.02.2026 г.
Ответ УК "Сибирь" (Дополнение) от 29.01.2026 г.

Кликните чтобы раскрыть

Комментарии к ответу

Анализ ответа ООО «УК «Сибирь» на запрос о предоставлении данных ОДПУ

Дата и автор: 29.01.2026, ООО «УК «Сибирь».

Суть: Дополнение к ранее предоставленному ответу на запрос о данных общедомовых приборов учёта МКД за 2023-2025 годы. УК предоставила частичную информацию, но существенные вопросы остались нераскрытыми.

Ключевые проблемы в ответе УК:

  1. Не предоставлены в полном объёме запрашиваемые документы. — имеющиеся данные не позволяют проверить корректность расчётов. Нарушение пп. "е(1)" п. 31 Правил № 354 и пп. "е(1)" п. 18 Правил № 124, обязывающих вести коммерческий учёт с фиксацией и хранением результатов измерений.
  2. Отсутствуют акты сверок с РСО — УК утверждает, что такие акты "не предусмотрены договорами". Однако п. 82-84 Правил № 354 устанавливают порядок сверки объёмов КР, а без этих актов невозможно проверить обоснованность начислений за КР на ОДН, что затрагивает ч. 9.2 ст. 156 ЖК РФ.
  3. Некорректный отказ в предоставлении ФИО сотрудников — ссылка на защиту персональных данных необоснованна, так как ФИО должностных лиц, выполняющих трудовые функции, раскрываемые в связи с исполнением этих функций, не являются конфиденциальной информацией (ст. 86-88 ТК РФ).
  4. Нечитаемые документы — акт ввода узла учёта тепловой энергии содержит рукописные записи плохого качества. Фактически это отказ в предоставлении информации, замаскированный под её предоставление, что нарушает п. 29(2) Правил № 491 об обязанности УК предоставлять сведения.
  5. Неполный перечень документов — не предоставлены паспорта приборов, акты предыдущих поверок. Данные документы необходимы для проверки исправности приборов учёта и влияют на достоверность показаний согласно пп. "е" п. 31 Правил № 354.

Текущий статус: УК предоставила частичный ответ, не соответствующий требованиям законодательства. Направлен повторный запрос с требованием предоставить первичные данные. Следите за обновлениями.

Дальнейшие действия:

  • Ожидание ответа на повторный запрос.
  • Подготовка жалобы в ГЖИ.
  • Возможное обращение в Роспотребнадзор по вопросу предоставления неполной информации потребителю

Важно: Собственники имеют право на получение именно первичных данных учёта (пп. "е(1)" п. 31 Правил № 354), а не сводных таблиц. Это ключевой момент для контроля правильности начислений за коммунальные услуги и проверки, не включаются ли в ОДН потери из-за неисправных приборов учёта (ч. 9.2 ст. 156 ЖК РФ).

Ответ УК (Дополнение)

Кликните на изображение чтобы увеличить его

Ответ УК "Сибирь" по ОДПУ №68 от 29.01.2026 г. стр. 1. Ответ УК "Сибирь" по ОДПУ №68 от 29.01.2026 г. стр. 2. Ответ УК "Сибирь" по ОДПУ №68 от 29.01.2026 г. стр. 3. Ответ УК "Сибирь" по ОДПУ №68 от 29.01.2026 г. стр. 4.
Повторный запрос в УК "Сибирь" от 19.01.2026 г.

Кликните чтобы раскрыть

Комментарии к документу

Повторный запрос в УК о предоставлении первичных данных по ОДПУ (январь 2026)

Дата и автор: запрос от 19.01.2026, Собственник помещений МКД по ул. Взлётная, д.1

Суть: Официальное требование, направленное после получения неполного ответа от УК. В документе констатируется, что ранее предоставленные сводные таблицы не соответствуют запросу, и даётся чёткое разграничение: требуются первичные (сырые) показания, снятые непосредственно с приборов, и акты сверки с ресурсоснабжающими организациями, а не внутренние расчёты УК. Запрос содержит конкретные технические примеры формата данных.

Анализ: Этот документ переводит спор на качественно новый уровень — уровень требования аудиторской прозрачности. Он демонстрирует глубокое понимание предмета: разницу между проверяемыми первичными данными и непроверяемыми производными отчётами. Указание на конкретные форматы данных (как в 2022 году) лишает УК возможности сослаться на «техническую невозможность». Запрос апеллирует к нормам о бухгалтерском учёте, запрещающим относить такую информацию к коммерческой тайне.

Текущий статус: Повторный запрос направлен в ООО «УК «Сибирь».Следите за обновлениями.

Повторный запрос в УК "Сибирь"

Кликните на изображение чтобы увеличить его

Повторный запрос в УК "Сибирь" информации и показаний ОДПУ от 19.01.2026 г. стр. 1 Повторный запрос в УК "Сибирь" информации и показаний ОДПУ от 19.01.2026 г. стр. 2
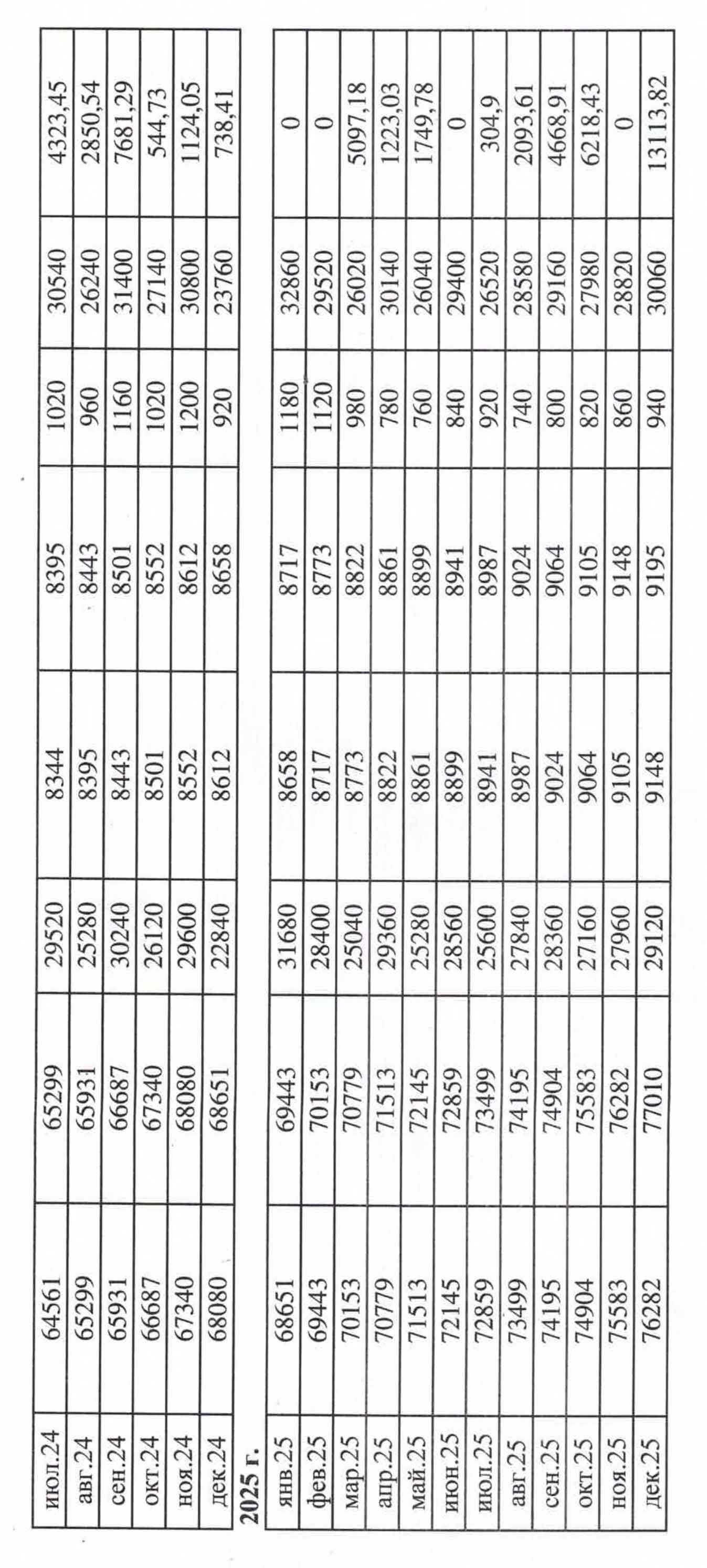
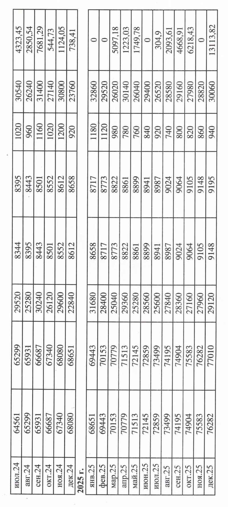
Ответ УК "Сибирь" (показания) от 22.01.2026 г.

Кликните чтобы раскрыть

Комментарии к ответу

Ответ УК на запрос по ОДПУ с данными за 2023-2025 гг. (январь 2026)

Дата и автор: 22.01.2026, ООО «УК «Сибирь»

Суть: Управляющая организация предоставила ответ на запрос об общедомовых приборах учёта (ОДПУ). В ответе содержатся помесячные показания по холодной и горячей воде, тепловой энергии, электроэнергии и водоотведению за период с 01.01.2023 по 31.12.2025. При этом УК сообщила, что остальная запрашиваемая информация (реестр приборов, техническая документация, акты поверки и т.д.) будет направлена позднее.

Анализ: Данный ответ является частичным исполнением запроса. Вместо первичных (сырых) показаний, снятых непосредственно с ОДПУ, УК предоставила сводные таблицы с итоговыми значениями, сформированными сотрудниками УК. Нет первичных данных учёта, нет ключевых документов, позволяющих проверить техническую исправность приборов и корректность снятия показаний (паспорта, акты ввода и поверки, реестр), нет подтверждающих документов от РСО. Такой подход не позволяет собственникам провести полноценный аудит, оставляя без ответа вопросы о достоверности первичных данных. Фактически, УК уклонилась от предоставления информации, дающей возможность реального контроля.

Текущий статус: Предоставленная информация признана собственниками недостаточной для осуществления контроля. На основании данного ответа был направлен уточняющий запрос в ООО «УК «Сибирь». Следите за обновлениями.

Ответ УК "Сибирь" (показания)

Кликните на изображение чтобы увеличить его

Ответ УК "Сибирь" помесячные показания ОДПУ №23 от 22.01.2026 г. стр. 1 Ответ УК "Сибирь" помесячные показания ОДПУ №23 от 22.01.2026 г. стр. 2 Ответ УК "Сибирь" помесячные показания ОДПУ №23 от 22.01.2026 г. стр. 3 Ответ УК "Сибирь" помесячные показания ОДПУ №23 от 22.01.2026 г. стр. 4 Ответ УК "Сибирь" помесячные показания ОДПУ №23 от 22.01.2026 г. стр. 5 Ответ УК "Сибирь" помесячные показания ОДПУ №23 от 22.01.2026 г. стр. 6
Запрос в УК "Сибирь" от 19.01.2026 г.

Кликните чтобы раскрыть

Комментарии к запросу

Запрос в УК о предоставлении информации по общедомовым приборам учёта (январь 2026)

Дата и автор: 19.01.2026, Собственник помещений МКД по ул. Взлётная, д.1

Суть: Детальный запрос в управляющую организацию с требованием предоставить полный пакет документов и данных по всем общедомовым приборам учёта (ОДПУ) за период 2023-2025 гг. В запросе содержится юридически обоснованный перечень требований: реестр приборов, техническая документация, фактические показания и информация о порядке их снятия. Документ ссылается на нормативные акты, обязывающие УК вести такой учёт и предоставлять информацию собственникам.

Анализ: Этот запрос направлен на установление полного контроля над ключевым элементом финансовых расчётов дома — учётом коммунальных ресурсов. Его цель — проверить техническую исправность приборов, правильность фиксации показаний и, как следствие, обоснованность начислений за общедомовые нужды. Запрос лишает УК возможности скрывать информацию под видом коммерческой тайны, прямо ссылаясь на закон. Более того, это даёт возможность собственникам самим проводить независимый аудит коммунальных платежей.

Текущий статус: Запрос направлен в ООО «УК «Сибирь». На него был получен официальный ответ УК. Следите за обновлениями.

Запрос в УК "Сибирь"

Кликните на изображение чтобы увеличить его

Запрос в УК "Сибирь" информации и показаний ОДПУ от 19.01.2026 г. стр. 1 Запрос в УК "Сибирь" информации и показаний ОДПУ от 19.01.2026 г. стр. 2